VAB Банк - БАНКРОТ

+ Додати
    тему
Відповісти
на тему
Неплатоспроможні банки в стадії ліквідації
  #<1 ... 15461547154815491550 ... 1794>

ОЦІНІТЬ обслуговування в цьому Банку (або його філії) та ОБҐРУНТУЙТЕ свою оцінку.

VAB Банк - БАНКРОТ 2.8 5 660
1 - ДУЖЕ ПОГАНО. Грубіянили і т.і.
29%
190
2 - ПОГАНО. Некомпетентно.
17%
113
3 - ЗАДОВІЛЬНО. Хотілося б краще.
17%
109
4 - НОРМАЛЬНО. Як і повинно бути.
24%
158
5 - ВІДМІННО. Дуже сподобалося.
14%
90
Всього голосів : 660
Повідомлення Додано: Пон 22 гру, 2014 16:06

Оце так лохотрон! Знову Бахматюк!
Дзвонив в банк-труп. Кажуть, ще триває інвентаризація і пошук інвестора.
Тільки акції протесту змусять ФГВФО і НБУ розпочати виплату. Сумно.
DIV
Аватар користувача
 
Повідомлень: 5561
З нами з: 19.09.08
Подякував: 158 раз.
Подякували: 636 раз.
 
Профіль
 
Повідомлення Додано: Пон 22 гру, 2014 16:50

Re: VAB Банк

Сегодня состоялось очередное совещание НБУ и сорока крупнейших банков. Основные вопросы, которые обсуждены:


1) На капитализацию и национализацию украинских банков за счет госбюджета в 2015 году хотят потратить 28 млрд грн и на Фонд гарантирования до 2,6 млрд грн. Банки, которые это получат не названы.


2) В связи с продолжением оттока средств из системы и плановым погашением банками рефинанса до конца этого года в сумме 2 млрд гривен, НБУ для поддержки ликвидности проведет тендер на 1 млрд грн.

3) Курс доллара до конца этого года будет в пределах до 18 грн за доллар, более низкий курс не устраивает экспортеров.
su27su
Аватар користувача
 
Повідомлень: 248
З нами з: 23.10.14
Подякував: 6 раз.
Подякували: 50 раз.
 
Профіль
 
Повідомлення Додано: Пон 22 гру, 2014 17:33

Re: VAB Банк

  su27su написав:и на Фонд гарантирования до 2,6 млрд грн.

Что-то мало очень на целый год. Вроде только в этом году потратили 15 млрд?
varlo
 
Повідомлень: 5684
З нами з: 11.04.12
Подякував: 352 раз.
Подякували: 804 раз.
 
Профіль
 
Повідомлення Додано: Пон 22 гру, 2014 18:03

Re: VAB Банк

В Рівному виписки депозитних рахунків по 100 гривень.
mtaxi7
 
Повідомлень: 52
З нами з: 25.04.10
Подякував: 4 раз.
Подякували: 1 раз.
 
Профіль
 
Повідомлення Додано: Пон 22 гру, 2014 18:10

  mtaxi7 написав:В Рівному виписки депозитних рахунків по 100 гривень.

банк сам не хочет деньги выдавать, зато за все требует деньги, оригинальный придумали способ стричь капусту
kievlyanka
Аватар користувача
 
Повідомлень: 21084
З нами з: 25.01.11
Подякував: 675 раз.
Подякували: 824 раз.
 
Профіль
 
Повідомлення Додано: Пон 22 гру, 2014 18:19

  su27su написав:Сегодня состоялось очередное совещание НБУ и сорока крупнейших банков. Основные вопросы, которые обсуждены:


1) На капитализацию и национализацию украинских банков за счет госбюджета в 2015 году хотят потратить 28 млрд грн и на Фонд гарантирования до 2,6 млрд грн. Банки, которые это получат не названы.


2) В связи с продолжением оттока средств из системы и плановым погашением банками рефинанса до конца этого года в сумме 2 млрд гривен, НБУ для поддержки ликвидности проведет тендер на 1 млрд грн.

3) Курс доллара до конца этого года будет в пределах до 18 грн за доллар, более низкий курс не устраивает экспортеров.

це ППЦ, не простіше роздати людям гроші через ФГВФО зразу, чим дати рефінанс, опустити гривню і потім затягнути на 3 місяці видачу і додатково з бюджету витратити ще стільки само гривні на компенсацію вкладникам банків-трупів?
flyman
Аватар користувача
 
Повідомлень: 42094
З нами з: 09.03.14
Подякував: 1624 раз.
Подякували: 2873 раз.
 
Профіль
 
1
4
Повідомлення Додано: Пон 22 гру, 2014 18:35

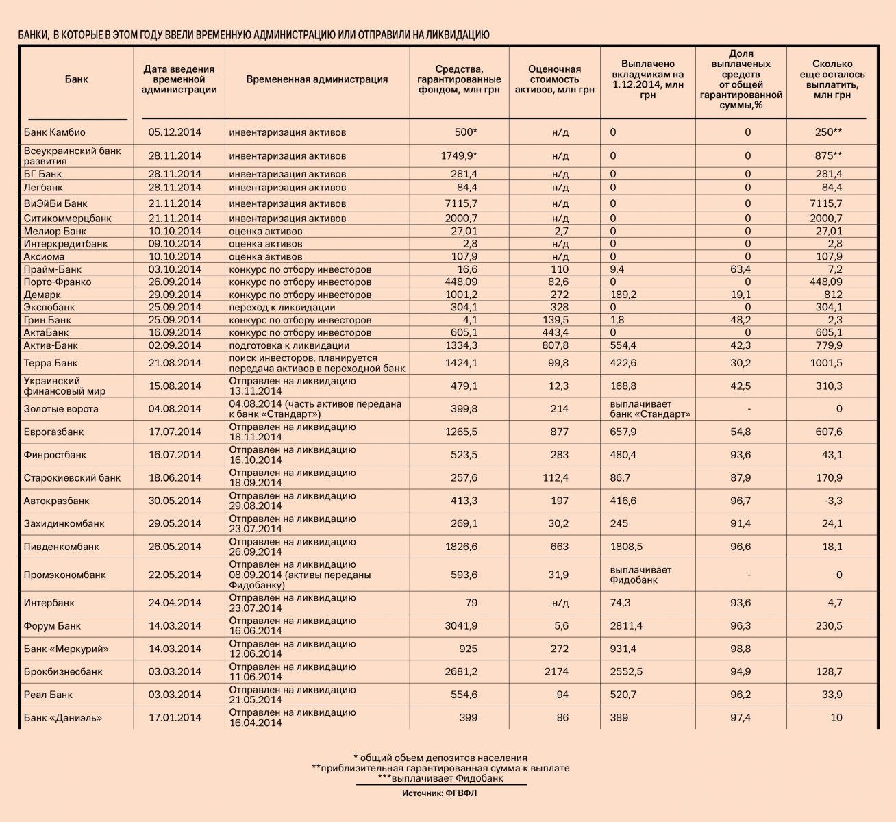
15,9 млрд грн находилось в распоряжении Фонда гарантирования вкладов физлиц на начало декабря


http://www.capital.ua/uploads/assets/images/2014/12/010_1.jpg
su27su
Аватар користувача
 
Повідомлень: 248
З нами з: 23.10.14
Подякував: 6 раз.
Подякували: 50 раз.
 
Профіль
 
Повідомлення Додано: Пон 22 гру, 2014 19:22

Re: VAB Банк

началось, закрытие отделений



УВАЖАЕМЫЕ КЛИЕНТЫ!
22.12.2014

Уведомляем Вас о том, что с 23.12.2014 года прекратят работу следующие отделения VAB Банка: №83 (г. Белая Церковь, ул. Гоголя, 16), №64 (г. Киев, ул. Ирпенская, 76), №65 (г. Киев, пр-т Григоренко, 28), №66 (г. Киев, ул. Драгоманова, 17), №90 (г. Запорожье, ул. Шевченко, 4).


http://www.vab.ua/rus/press_centre/news/22122014/
kievlyanka
Аватар користувача
 
Повідомлень: 21084
З нами з: 25.01.11
Подякував: 675 раз.
Подякували: 824 раз.
 
Профіль
 
Повідомлення Додано: Пон 22 гру, 2014 19:24

Re: VAB Банк

ПАТ «ВіЕйБі Банк» - БАНК З ТИМЧАСОВОЮ АДМІНІСТРАЦІЄЮ

22.12.2014

ВСТАНОВЛЕНО ГРАФІК ОСОБИСТОГО ПРИЙОМУ ВКЛАДНИКІВ ПАТ «ВіЕйБі БАНК»

Уповноважена особа Фонду гарантування вкладів фізичних осіб на здійснення тимчасової адміністрації в ПАТ «ВіЕйБі Банк» кожного робочого вівторка та четверга з 16:00 до 18:00 год. за адресою: вул. Щорса, 7/9, м. Київ, проводитиме особистий прийом вкладників банку.



Прийом вкладників ПАТ «ВіЕйБі Банк» здійснюватиметься за попереднім записом за номерами телефону: 0 800-30-08-30, 38 (044) 496 33 96.

http://www.fg.gov.ua/payments/vab-bank-100.html
kievlyanka
Аватар користувача
 
Повідомлень: 21084
З нами з: 25.01.11
Подякував: 675 раз.
Подякували: 824 раз.
 
Профіль
 
Повідомлення Додано: Пон 22 гру, 2014 21:43

Re: VAB Банк

ктото ходил на эти приемы? какой в них смысл ?
какие вопросы решает уповноважена особа ФГВФО во время действия ВА ?
farcengoldd
 
Повідомлень: 2
З нами з: 12.01.14
Подякував: 2 раз.
Подякували: 0 раз.
 
Профіль
 
  #<1 ... 15461547154815491550 ... 1794>
Форум:
+ Додати
    тему
Відповісти
на тему
Зараз переглядають цей форум: Немає зареєстрованих користувачів і 2 гостей
Модератори: Ірина_, ShtormK, Модератор

Схожі теми

Теми
Відповіді Перегляди Останнє
321 357393
Переглянути останнє повідомлення
Вів 13 січ, 2026 13:55
AlexSV
56229 9346167
Переглянути останнє повідомлення
Нед 21 гру, 2025 18:46
Y3G0R
19 70737
Переглянути останнє повідомлення
Пон 07 кві, 2025 16:36
Investor_K
Топ
відповідей
Топ
користувачів
реклама
Реклама